Приказ Комитета по охране объектов культурного наследия Курской области от 15.12.2021 № 01.1-08/636
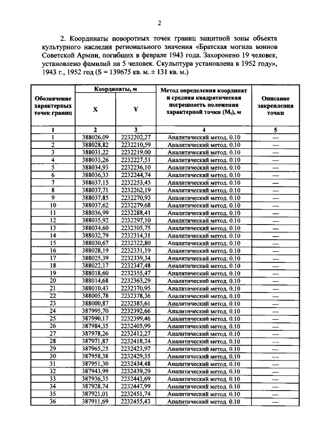
"Об утверждении графического описания местоположения границ защитной зоны объекта культурного наследия регионального значения "Братская могила воинов Советской Армии, погибших в феврале 1943 года. Захоронено 19 человек, установлено фамилий на 5 человек. Скульптура установлена в 1952 году", 1943 г., 1952 год (Курская область, Горшеченский район, село Сосновка)"
"Об утверждении графического описания местоположения границ защитной зоны объекта культурного наследия регионального значения "Братская могила воинов Советской Армии, погибших в феврале 1943 года. Захоронено 19 человек, установлено фамилий на 5 человек. Скульптура установлена в 1952 году", 1943 г., 1952 год (Курская область, Горшеченский район, село Сосновка)"
Номер опубликования: 4601202112230002
Дата опубликования:
23.12.2021
