Официальное опубликование правовых актов
ОФИЦИАЛЬНОЕ ОПУБЛИКОВАНИЕ
Приказ Комитета по охране объектов культурного наследия Курской области от 14.12.2021 № 01.1-08/628
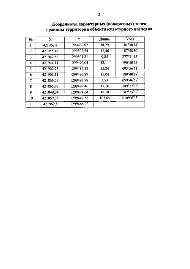
"О включении выявленных объектов культурного наследия "Ансамбль усадеб купцов Антимоновых, конец XVIII в. – начало XX в.", расположенного по адресу: Курская область, город Курск, ул. М. Горького, д. 63, д. 63, д. 63а, д. 65, "Дом жилой, кон. XIX - нач. XX вв.", расположенного по адресу: Курская область, город Курск, улица Горького, дом 63, "Дом жилой, кон. XIX - нач. XX вв.", расположенного по адресу: Курская область, город Курск, улица Горького, дом 63а, "Дом жилой, кон. XIX - нач. XX вв.", расположенного по адресу: Курская область, город Курск, улица Горького, дом 65, в единый государственный реестр объектов культурного наследия (памятников истории и культуры) народов Российской Федерации в качестве объекта культурного наследия регионального значения "Ансамбль усадеб купцов Антимоновых" и утверждении границ его территории и правового режима использования земельного участка в границах территории"
Номер опубликования: 4601202112200006
Дата опубликования: 20.12.2021
Страница №5 из 7:
Увеличить