Официальное опубликование правовых актов
ОФИЦИАЛЬНОЕ ОПУБЛИКОВАНИЕ
Приказ Комитета агропромышленного комплекса Курской области от 15.12.2021 № 204
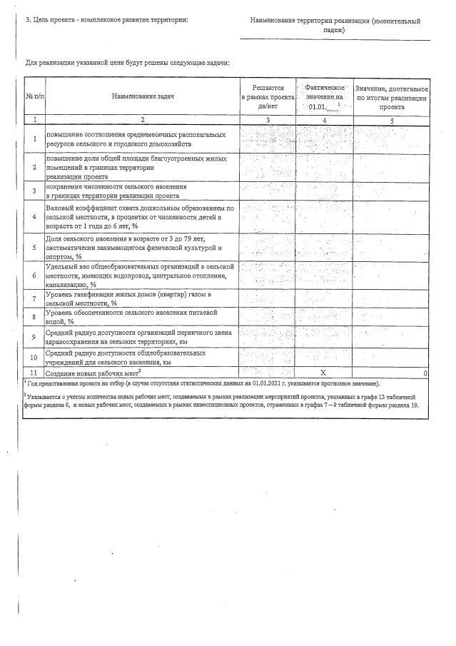
"Об утверждении Порядка отбора проектов комплексного развития сельских территорий или сельских агломераций Курской области, а также требования к составу заявочной документации, представляемой на отбор проектов"
Номер опубликования: 4601202112160017
Дата опубликования: 16.12.2021
Страница №15 из 24:
Увеличить