Официальное опубликование правовых актов
ОФИЦИАЛЬНОЕ ОПУБЛИКОВАНИЕ
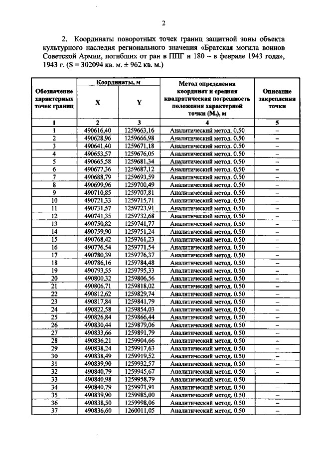
Приказ Комитета по охране объектов культурного наследия Курской области от 07.12.2021 № 01.1-08/616
"Об утверждении графического описания местоположения границ защитной зоны объекта культурного наследия регионального значения "Братская могила воинов Советской Армии, погибших от ран в ППГ и 180 – в феврале 1943 года", 1943 г. (Курская область, Железногорский район, д. Коровино)"
Номер опубликования: 4601202112130042
Дата опубликования: 13.12.2021
Страница №3 из 7:
Увеличить