Официальное опубликование правовых актов
ОФИЦИАЛЬНОЕ ОПУБЛИКОВАНИЕ
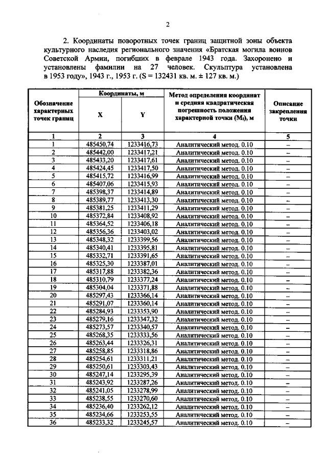
Приказ Комитета по охране объектов культурного наследия Курской области от 07.12.2021 № 01.1-08/606
"Об утверждении графического описания местоположения границ защитной зоны объекта культурного наследия регионального значения "Братская могила воинов Советской Армии, погибших в феврале 1943 года. Захоронено и установлены фамилии на 27 человек. Скульптура установлена в 1953 году", 1943 г., 1953 г.(Курская область, Железногорский район, село Ажово, Разветьевского сельсовета (в саду средней школы)"
Номер опубликования: 4601202112130037
Дата опубликования: 13.12.2021
Страница №3 из 7:
Увеличить