Официальное опубликование правовых актов
ОФИЦИАЛЬНОЕ ОПУБЛИКОВАНИЕ
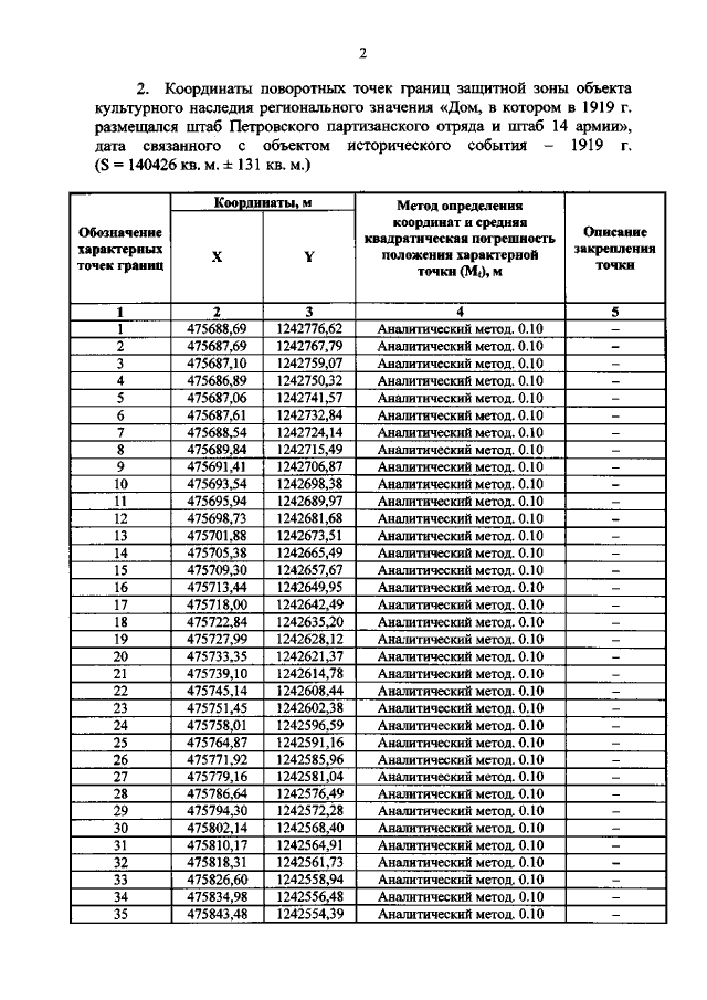
Приказ Комитета по охране объектов культурного наследия Курской области от 07.12.2021 № 01.1-08/614
"Об утверждении графического описания местоположения границ защитной зоны объекта культурного наследия регионального значения "Дом, в котором в 1919 г. размещался штаб Петровского партизанского отряда и штаб 14 армии", дата связанного с объектом исторического события - 1919 г.(Курская область, Железногорский район, сл. Михайловка, Советская ул., 147)"
Номер опубликования: 4601202112130035
Дата опубликования: 13.12.2021
Страница №3 из 7:
Увеличить