Официальное опубликование правовых актов
ОФИЦИАЛЬНОЕ ОПУБЛИКОВАНИЕ
Приказ Комитета по охране объектов культурного наследия Курской области от 07.12.2021 № 01.1-08/610
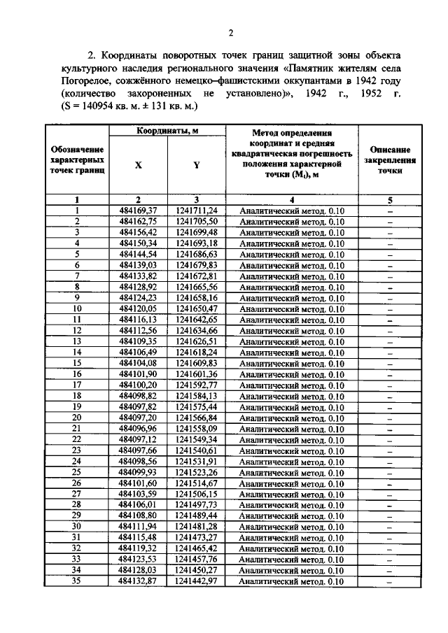
"Об утверждении графического описания местоположения границ защитной зоны объекта культурного наследия регионального значения "Памятник жителям села Погорелое, сожжённого немецко-фашистскими оккупантами в 1942 году (количество захороненных не установлено)", 1942 г., 1952 г. (Курская область, Железногорский район, с/с Веретенинский, п. Горняцкий)"
Номер опубликования: 4601202112130034
Дата опубликования: 13.12.2021
Страница №3 из 7:
Увеличить