Официальное опубликование правовых актов
ОФИЦИАЛЬНОЕ ОПУБЛИКОВАНИЕ
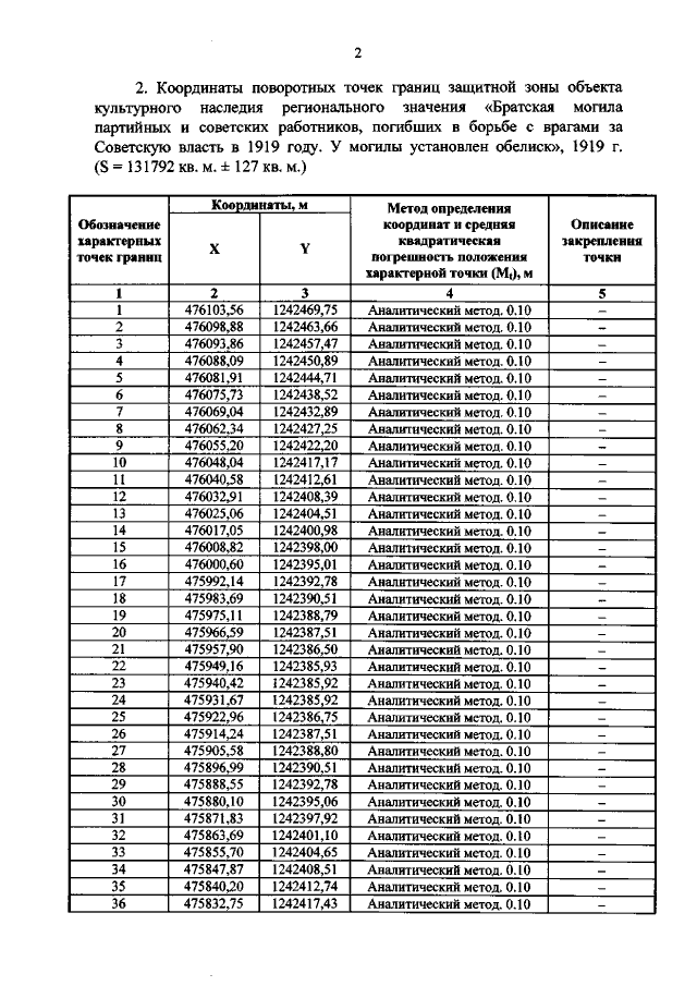
Приказ Комитета по охране объектов культурного наследия Курской области от 07.12.2021 № 01.1-08/611
"Об утверждении графического описания местоположения границ защитной зоны объекта культурного наследия регионального значения "Братская могила партийных и советских работников, погибших в борьбе с врагами за Советскую власть в 1919 году. У могилы установлен обелиск", 1919 г. (Курская область, Железногорский район, сл. Михайловка)"
Номер опубликования: 4601202112130033
Дата опубликования: 13.12.2021
Страница №3 из 7:
Увеличить