Официальное опубликование правовых актов
ОФИЦИАЛЬНОЕ ОПУБЛИКОВАНИЕ
Приказ Комитета по охране объектов культурного наследия Курской области от 07.12.2021 № 01.1-08/615
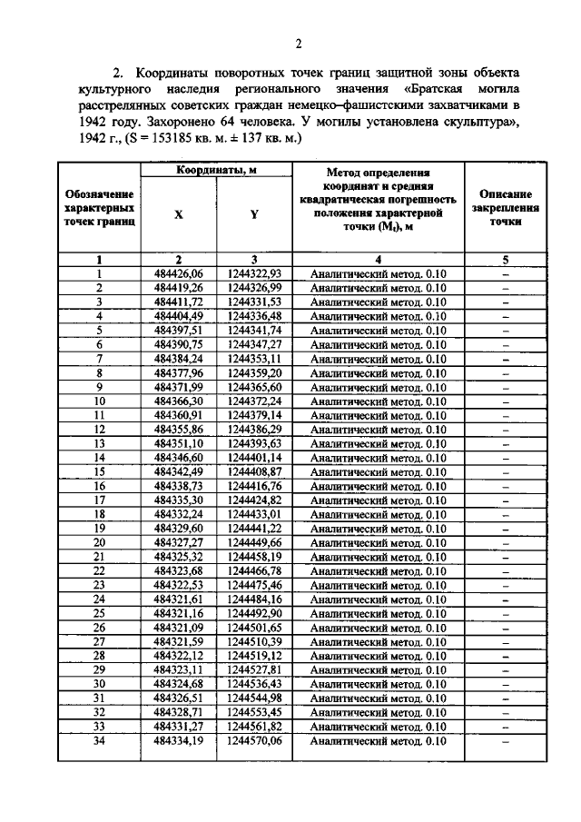
"Об утверждении графического описания местоположения границ защитной зоны объекта культурного наследия регионального значения "Братская могила расстрелянных советских граждан немецко-фашистскими захватчиками в 1942 году. Захоронено 64 человека. У могилы установлена скульптура", 1942 г. (Курская область, Железногорский район, Веретенинский сельсовет, с. Веретенино)"
Номер опубликования: 4601202112130010
Дата опубликования: 13.12.2021
Страница №3 из 7:
Увеличить