Официальное опубликование правовых актов
ОФИЦИАЛЬНОЕ ОПУБЛИКОВАНИЕ
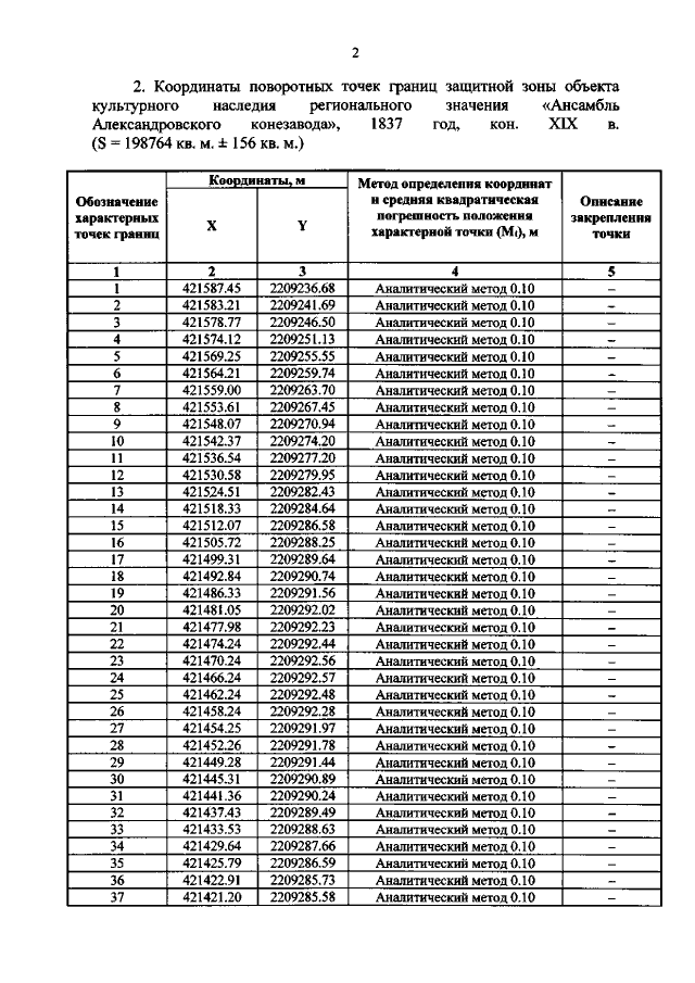
Приказ Комитета по охране объектов культурного наследия Курской области от 06.12.2021 № 01.1-08/601
"Об утверждении графического описания местоположения границ защитной зоны объекта культурного наследия регионального значения "Ансамбль Александровского конезавода ", 1837 год, кон. XIX в. (Курская область, Касторенский район, поселок Александровский)"
Номер опубликования: 4601202112090001
Дата опубликования: 09.12.2021
Страница №3 из 9:
Увеличить