Официальное опубликование правовых актов
ОФИЦИАЛЬНОЕ ОПУБЛИКОВАНИЕ
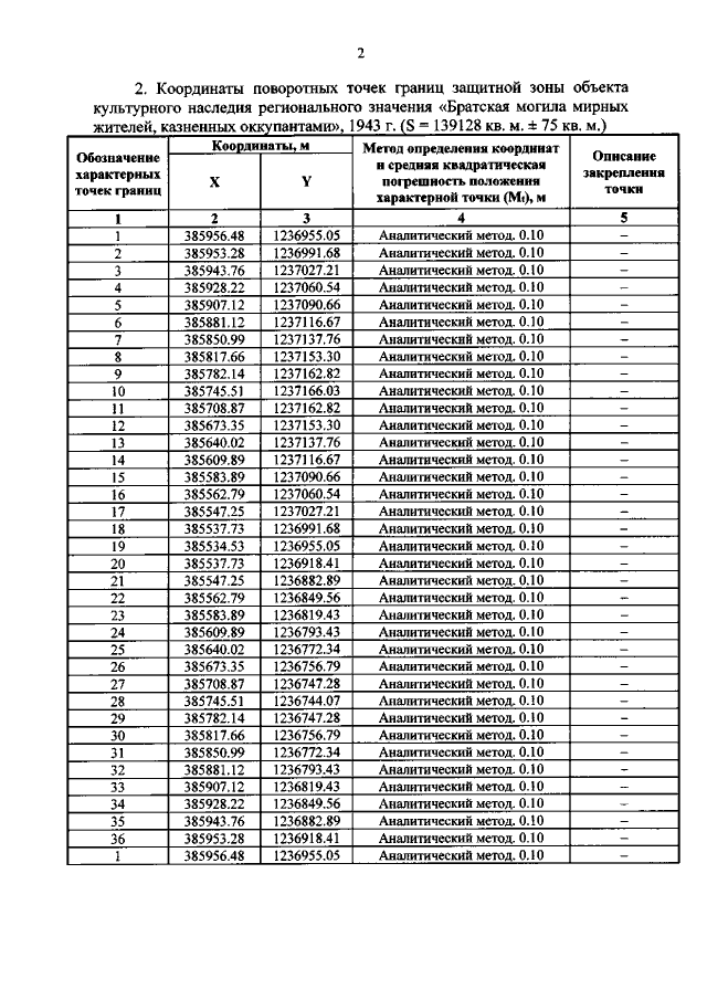
Приказ Комитета по охране объектов культурного наследия Курской области от 30.11.2021 № 01.1-08/581
"Об утверждении графического описания местоположения границ защитной зоны объекта культурного наследия регионального значения "Братская могила мирных жителей, казненных оккупантами", 1943 г.(Курская область, Суджанский район, с. Ивница)"
Номер опубликования: 4601202112070019
Дата опубликования: 07.12.2021
Страница №3 из 4:
Увеличить