Официальное опубликование правовых актов
ОФИЦИАЛЬНОЕ ОПУБЛИКОВАНИЕ
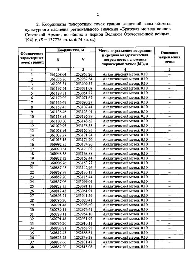
Приказ Комитета по охране объектов культурного наследия Курской области от 30.11.2021 № 01.1-08/584
"Об утверждении графического описания местоположения границ защитной зоны объекта культурного наследия регионального значения "Братская могила воинов Советской Армии, погибших в период Великой Отечественной войны", 1941 г. (Курская область, Суджанский район, Воробжанский сельсовет, с. Чёрный Олёх, ул. Советская (около д. 26 – здания Черноолешенского ФАПа и отделения почтовой связи)"
Номер опубликования: 4601202112070015
Дата опубликования: 07.12.2021
Страница №3 из 5:
Увеличить