Официальное опубликование правовых актов
ОФИЦИАЛЬНОЕ ОПУБЛИКОВАНИЕ
Приказ Комитета по охране объектов культурного наследия Курской области от 30.11.2021 № 01.1-08/588
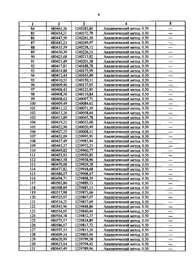
"Об утверждении графического описания местоположения границ защитной зоны объекта культурного наследия регионального значения "Братская могила воинов Советской Армии, погибших в феврале 1943 года. Захоронено 1790 человек, установлено фамилий на 82 человека. Скульптура установлена в 1952 году" (Курская область, Железногорский район, дер. Андреевка Волковского сельсовета (в саду Гремячинской больницы)"
Номер опубликования: 4601202112070013
Дата опубликования: 07.12.2021
Страница №5 из 7:
Увеличить