Официальное опубликование правовых актов
ОФИЦИАЛЬНОЕ ОПУБЛИКОВАНИЕ
Приказ Комитета по охране объектов культурного наследия Курской области от 30.11.2021 № 01.1-08/564
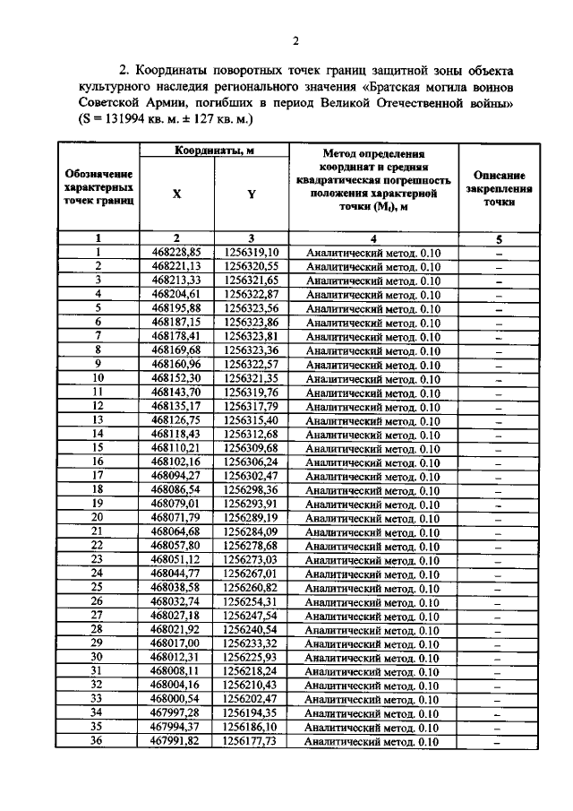
"Об утверждении графического описания местоположения границ защитной зоны объекта культурного наследия регионального значения "Братская могила воинов Советской Армии, погибших в период Великой Отечественной войны. Захоронено 47 человек, установлено фамилий на 47 человек. Обелиск установлен в 1969 году" (Курская область, Железногорский район, с. Басово)"
Номер опубликования: 4601202112070012
Дата опубликования: 07.12.2021
Страница №3 из 7:
Увеличить