Официальное опубликование правовых актов
ОФИЦИАЛЬНОЕ ОПУБЛИКОВАНИЕ
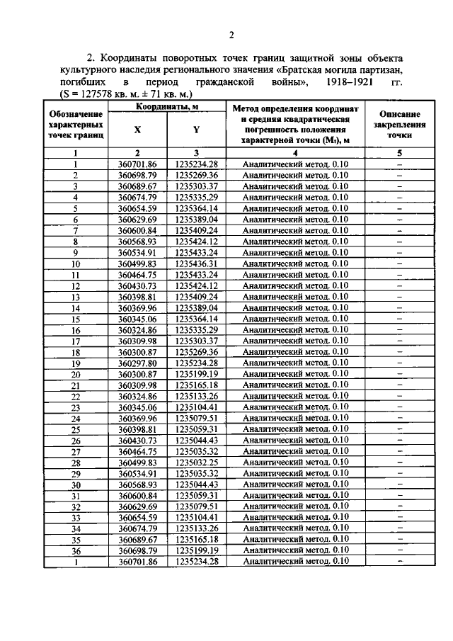
Приказ Комитета по охране объектов культурного наследия Курской области от 30.11.2021 № 01.1-08/585
"Об утверждении графического описания местоположения границ защитной зоны объекта культурного наследия регионального значения "Братская могила партизан, погибших в период гражданской войны", 1918–1921 гг.(Курская область, Суджанский район, город Суджа)"
Номер опубликования: 4601202112070002
Дата опубликования: 07.12.2021
Страница №3 из 4:
Увеличить