Официальное опубликование правовых актов
ОФИЦИАЛЬНОЕ ОПУБЛИКОВАНИЕ
Приказ Комитета по охране объектов культурного наследия Курской области от 30.11.2021 № 01.1-08/565
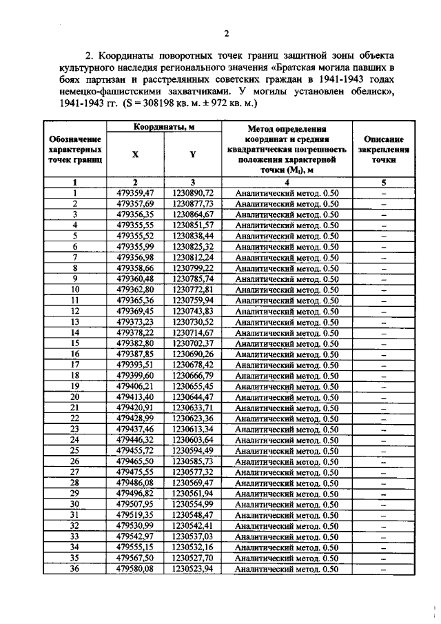
"Об утверждении графического описания местоположения границ защитной зоны объекта культурного наследия регионального значения "Братская могила павших в боях партизан и расстрелянных советских граждан в 1941-1943 годах немецко-фашистскими захватчиками. У могилы установлен обелиск", 1941-1943 гг. (Курская область, Железногорский район, с. Клишино)"
Номер опубликования: 4601202112070001
Дата опубликования: 07.12.2021
Страница №3 из 7:
Увеличить