Приказ Комитета по охране объектов культурного наследия Курской области от 30.11.2021 № 01.1-08/579
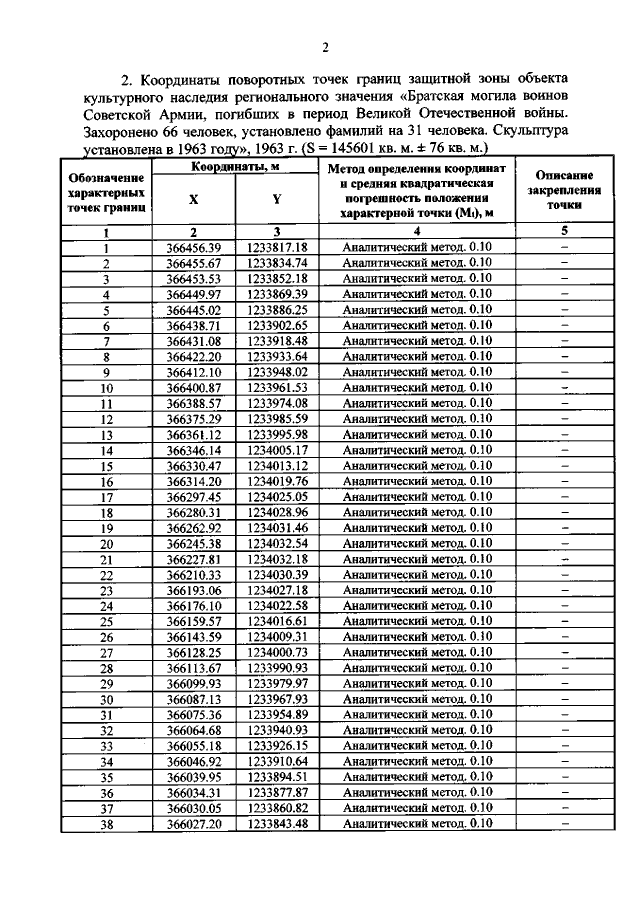
"Об утверждении графического описания местоположения границ защитной зоны объекта культурного наследия регионального значения "Братская могила воинов Советской Армии, погибших в период Великой Отечественной войны. Захоронено 66 человек, установлено фамилий на 31 человека. Скульптура установлена в 1963 году", 1963 г.(Курская область, Суджанский район, с. Казачья Локня (в парке у Дома культуры)"
"Об утверждении графического описания местоположения границ защитной зоны объекта культурного наследия регионального значения "Братская могила воинов Советской Армии, погибших в период Великой Отечественной войны. Захоронено 66 человек, установлено фамилий на 31 человека. Скульптура установлена в 1963 году", 1963 г.(Курская область, Суджанский район, с. Казачья Локня (в парке у Дома культуры)"
Номер опубликования: 4601202112060017
Дата опубликования:
06.12.2021
