Приказ Комитета по охране объектов культурного наследия Курской области от 30.11.2021 № 01.1-08/578
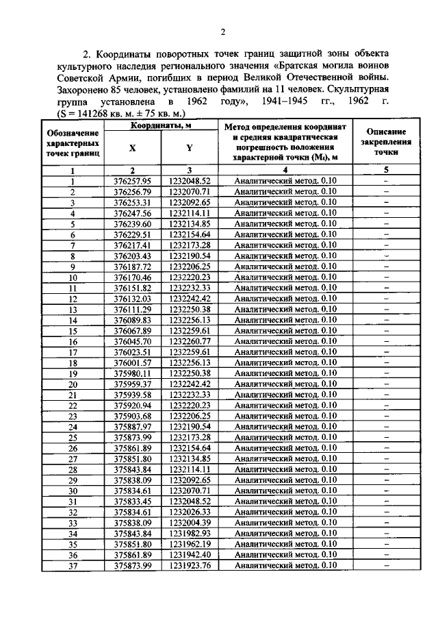
"Об утверждении графического описания местоположения границ защитной зоны объекта культурного наследия регионального значения "Братская могила воинов Советской Армии, погибших в период Великой Отечественной войны. Захоронено 85 человек, установлено фамилий на 11 человек. Скульптурная группа установлена в 1962 году", 1941–1945 гг., 1962 г. (Курская область, Суджанский район, с. Малая Локня (у сельсовета и сельской школы)"
"Об утверждении графического описания местоположения границ защитной зоны объекта культурного наследия регионального значения "Братская могила воинов Советской Армии, погибших в период Великой Отечественной войны. Захоронено 85 человек, установлено фамилий на 11 человек. Скульптурная группа установлена в 1962 году", 1941–1945 гг., 1962 г. (Курская область, Суджанский район, с. Малая Локня (у сельсовета и сельской школы)"
Номер опубликования: 4601202112060015
Дата опубликования:
06.12.2021
