Приказ Комитета по охране объектов культурного наследия Курской области от 30.11.2021 № 01.1-08/577
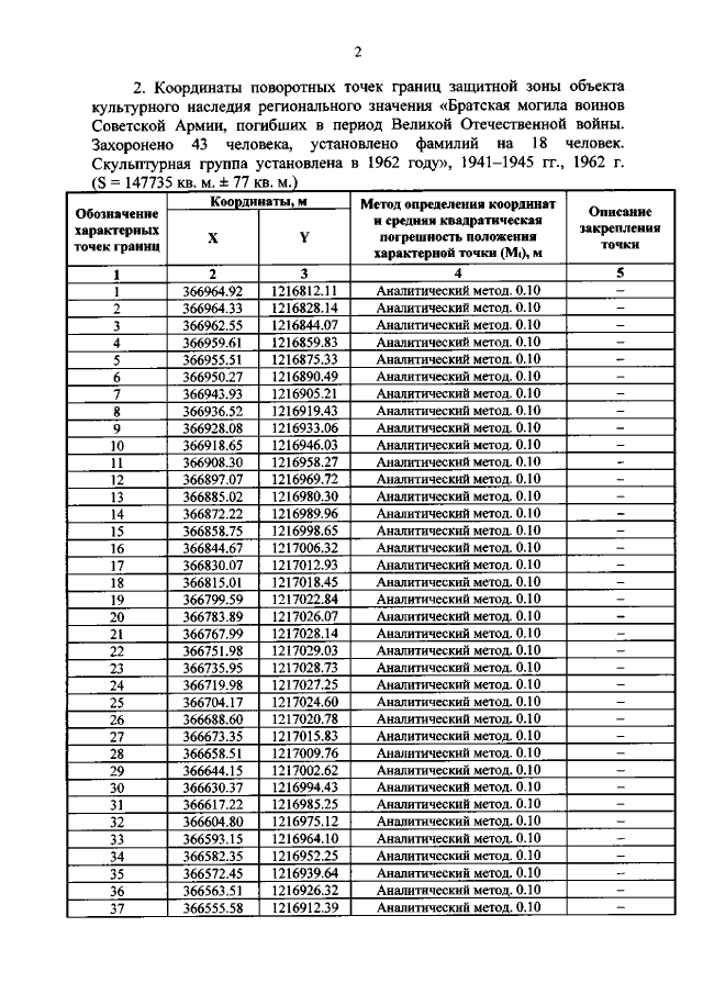
"Об утверждении графического описания местоположения границ защитной зоны объекта культурного наследия регионального значения "Братская могила воинов Советской Армии, погибших в период Великой Отечественной войны. Захоронено 43 человека, установлено фамилий на 18 человек. Скульптурная группа установлена в 1962 году", 1941–1945 гг., 1962 г. (Курская область, Суджанский район, село Ник. – Дарьино)"
"Об утверждении графического описания местоположения границ защитной зоны объекта культурного наследия регионального значения "Братская могила воинов Советской Армии, погибших в период Великой Отечественной войны. Захоронено 43 человека, установлено фамилий на 18 человек. Скульптурная группа установлена в 1962 году", 1941–1945 гг., 1962 г. (Курская область, Суджанский район, село Ник. – Дарьино)"
Номер опубликования: 4601202112060014
Дата опубликования:
06.12.2021
