Официальное опубликование правовых актов
ОФИЦИАЛЬНОЕ ОПУБЛИКОВАНИЕ
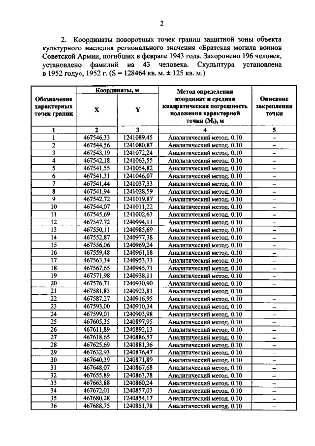
Приказ Комитета по охране объектов культурного наследия Курской области от 30.11.2021 № 01.1-08/573
"Об утверждении графического описания местоположения границ защитной зоны объекта культурного наследия регионального значения "Братская могила воинов Советской Армии, погибших в феврале 1943 года. Захоронено 196 человек, установлено фамилий на 43 человека. Скульптура установлена в 1952 году", 1952 г. (Курская область, Железногорский район, село Карманово)"
Номер опубликования: 4601202112060012
Дата опубликования: 06.12.2021
Страница №3 из 7:
Увеличить