Официальное опубликование правовых актов
ОФИЦИАЛЬНОЕ ОПУБЛИКОВАНИЕ
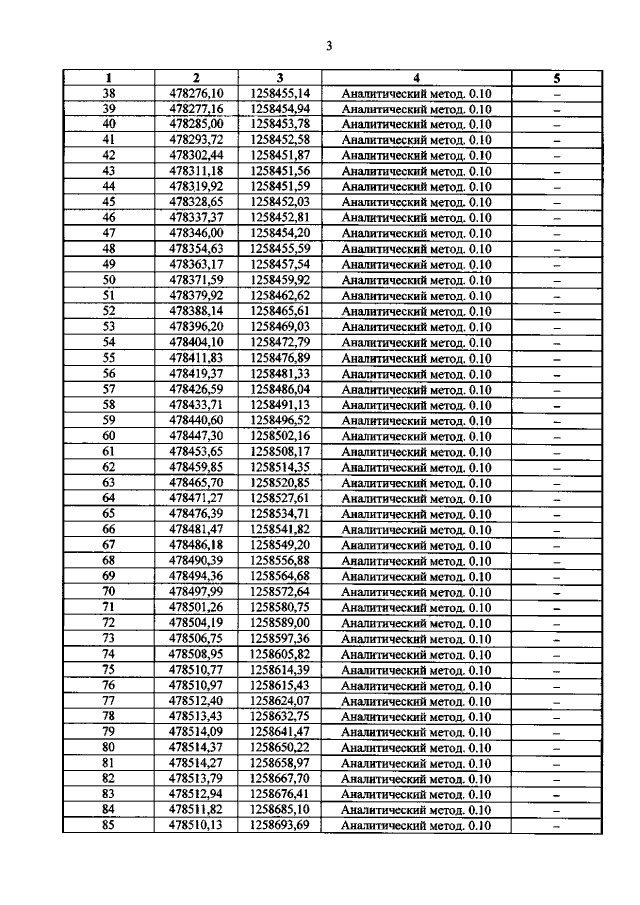
Приказ Комитета по охране объектов культурного наследия Курской области от 30.11.2021 № 01.1-08/571
"Об утверждении графического описания местоположения границ защитной зоны объекта культурного наследия регионального значения "Братская могила красноармейцев, погибших в боях с белогвардейцами в 1919 году. У могилы установлен обелиск", 1919 г. (Курская область, Железногорский район, село Копенки)"
Номер опубликования: 4601202112060008
Дата опубликования: 06.12.2021
Страница №4 из 7:
Увеличить