Официальное опубликование правовых актов
ОФИЦИАЛЬНОЕ ОПУБЛИКОВАНИЕ
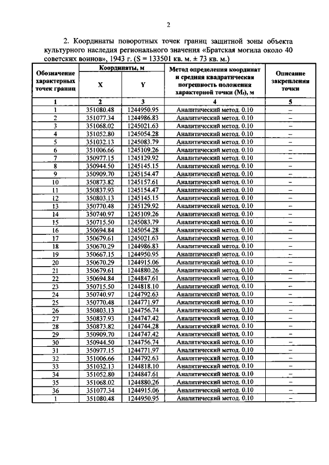
Приказ Комитета по охране объектов культурного наследия Курской области от 30.11.2021 № 01.1-08/583
"Об утверждении графического описания местоположения границ защитной зоны объекта культурного наследия регионального значения "Братская могила около 40 советских воинов", 1943 г.(Курская область, Суджанский район, с. Борки)"
Номер опубликования: 4601202112060006
Дата опубликования: 06.12.2021
Страница №3 из 4:
Увеличить