Приказ Комитета по охране объектов культурного наследия Курской области от 30.11.2021 № 01.1-08/566
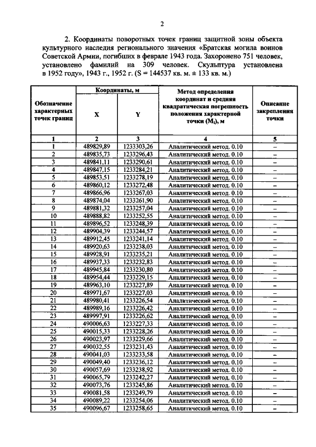
"Об утверждении графического описания местоположения границ защитной зоны объекта культурного наследия регионального значения "Братская могила воинов Советской Армии, погибших в феврале 1943 года. Захоронено 751 человек, установлено фамилий на 309 человек. Скульптура установлена в 1952 году", 1943 г., 1952 г. (Курская область, Железногорский район, с. Трояново)"
"Об утверждении графического описания местоположения границ защитной зоны объекта культурного наследия регионального значения "Братская могила воинов Советской Армии, погибших в феврале 1943 года. Захоронено 751 человек, установлено фамилий на 309 человек. Скульптура установлена в 1952 году", 1943 г., 1952 г. (Курская область, Железногорский район, с. Трояново)"
Номер опубликования: 4601202112060005
Дата опубликования:
06.12.2021
