Официальное опубликование правовых актов
ОФИЦИАЛЬНОЕ ОПУБЛИКОВАНИЕ
Приказ Комитета по охране объектов культурного наследия Курской области от 19.11.2021 № 01.1-08/545
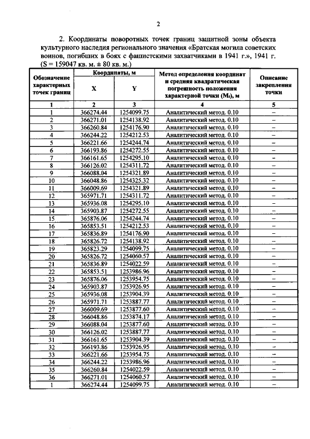
"Об утверждении графического описания местоположения границ защитной зоны объекта культурного наследия регионального значения "Братская могила советских воинов, погибших в боях с фашистскими захватчиками в 1941 г.", 1941 г.(Курская область, Большесолдатский район, д. Козыревка)"
Номер опубликования: 4601202111240024
Дата опубликования: 24.11.2021
Страница №3 из 4:
Увеличить