Официальное опубликование правовых актов
ОФИЦИАЛЬНОЕ ОПУБЛИКОВАНИЕ
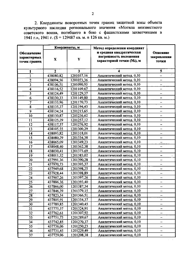
Приказ Комитета по охране объектов культурного наследия Курской области от 19.11.2021 № 01.1-08/553
"Об утверждении графического описания местоположения границ защитной зоны объекта культурного наследия регионального значения "Могила неизвестного советского воина, погибшего в бою с фашистскими захватчиками в 1941 г.", 1941 г.(Курская область, Хомутовский район, д. Малеевка)"
Номер опубликования: 4601202111240023
Дата опубликования: 24.11.2021
Страница №3 из 5:
Увеличить