Официальное опубликование правовых актов
ОФИЦИАЛЬНОЕ ОПУБЛИКОВАНИЕ
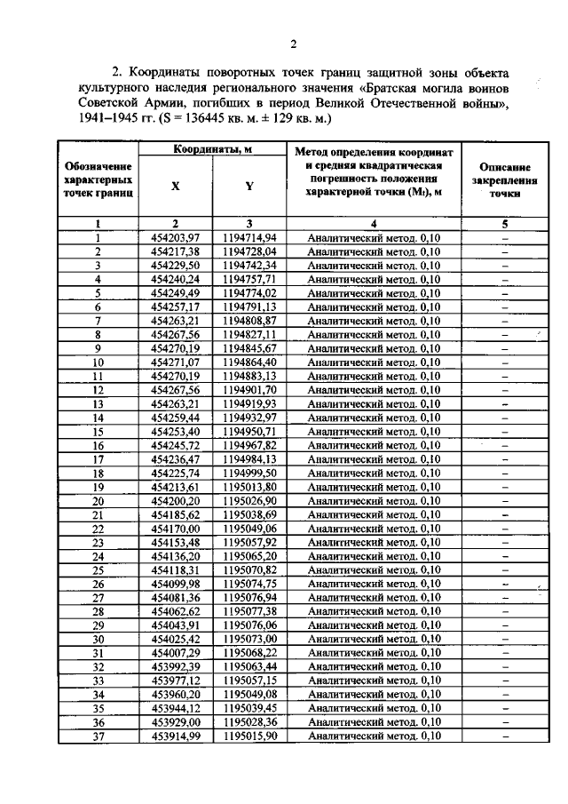
Приказ Комитета по охране объектов культурного наследия Курской области от 19.11.2021 № 01.1-08/555
"Об утверждении графического описания местоположения границ защитной зоны объекта культурного наследия регионального значения "Братская могила воинов Советской Армии, погибших в период Великой Отечественной войны", 1941–1945 гг.(Курская область, Хомутовский район, село Деменино)"
Номер опубликования: 4601202111240021
Дата опубликования: 24.11.2021
Страница №3 из 5:
Увеличить