Приказ Комитета по охране объектов культурного наследия Курской области от 19.11.2021 № 01.1-08/554
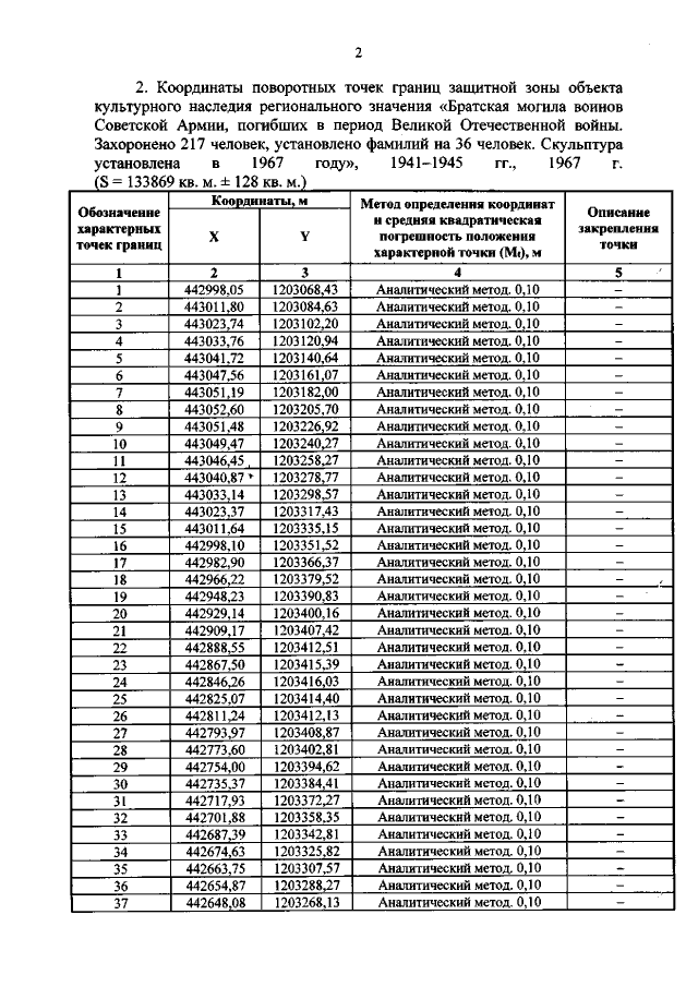
"Об утверждении графического описания местоположения границ защитной зоны объекта культурного наследия регионального значения "Братская могила воинов Советской Армии, погибших в период Великой Отечественной войны. Захоронено 217 человек, установлено фамилий на 36 человек. Скульптура установлена в 1967 году", 1941–1945 гг., 1967 г.(Курская область, Хомутовский район, д. Ефросимово)"
"Об утверждении графического описания местоположения границ защитной зоны объекта культурного наследия регионального значения "Братская могила воинов Советской Армии, погибших в период Великой Отечественной войны. Захоронено 217 человек, установлено фамилий на 36 человек. Скульптура установлена в 1967 году", 1941–1945 гг., 1967 г.(Курская область, Хомутовский район, д. Ефросимово)"
Номер опубликования: 4601202111240020
Дата опубликования:
24.11.2021
