Приказ Комитета по охране объектов культурного наследия Курской области от 19.11.2021 № 01.1-08/546
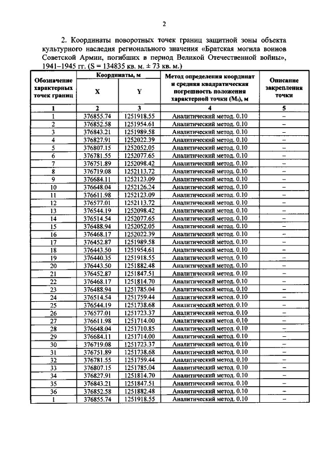
"Об утверждении графического описания местоположения границ защитной зоны объекта культурного наследия регионального значения "Братская могила воинов Советской Армии, погибших в период Великой Отечественной войны", 1941–1945 гг.(Курская область, Большесолдатский район, с. Б–Солдатское)"
"Об утверждении графического описания местоположения границ защитной зоны объекта культурного наследия регионального значения "Братская могила воинов Советской Армии, погибших в период Великой Отечественной войны", 1941–1945 гг.(Курская область, Большесолдатский район, с. Б–Солдатское)"
Номер опубликования: 4601202111240017
Дата опубликования:
24.11.2021
