Приказ Управления ветеринарии Курской области от 16.11.2021 № 55-э
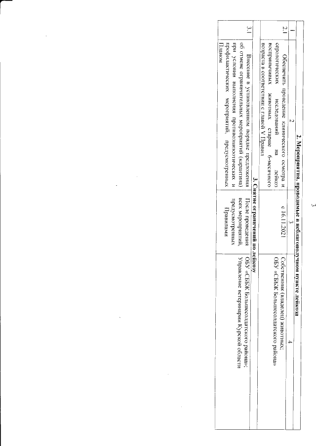
"Об установлении ограничительных мероприятий (карантина) по заболеванию лейкозом крупного рогатого скота в хозяйстве ИП Прикоб В.В. на территории д. Будище муниципального образования "Саморядовский сельсовет" Большесолдатского района Курской области"
"Об установлении ограничительных мероприятий (карантина) по заболеванию лейкозом крупного рогатого скота в хозяйстве ИП Прикоб В.В. на территории д. Будище муниципального образования "Саморядовский сельсовет" Большесолдатского района Курской области"
Номер опубликования: 4601202111190008
Дата опубликования:
19.11.2021
