Официальное опубликование правовых актов
ОФИЦИАЛЬНОЕ ОПУБЛИКОВАНИЕ
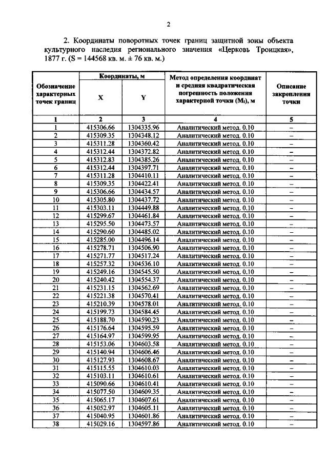
Приказ Комитета по охране объектов культурного наследия Курской области от 09.11.2021 № 01.1-08/537
"Об утверждении графического описания местоположения границ защитной зоны объекта культурного наследия регионального значения "Церковь Троицкая", 1877 г. (Курская область, Курский район, с. Лебяжье)"
Номер опубликования: 4601202111170002
Дата опубликования: 17.11.2021
Страница №3 из 6:
Увеличить