Официальное опубликование правовых актов
ОФИЦИАЛЬНОЕ ОПУБЛИКОВАНИЕ
Приказ Комитета по охране объектов культурного наследия Курской области от 09.11.2021 № 01.1-08/516
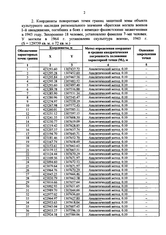
"Об утверждении графического описания местоположения границ защитной зоны объекта культурного наследия регионального значения "Братская могила воинов I–й авиадивизии, погибших в боях с немецко–фашистскими захватчиками в 1943 году. Захоронено 18 человек, установлено фамилии 7–ми человек. У могилы в 1964 г. установлена скульптура воина", 1943 г. (Курская область, Курский район, Клюквинский сельсовет, д. Халино)"
Номер опубликования: 4601202111150016
Дата опубликования: 15.11.2021
Страница №4 из 6:
Увеличить