Официальное опубликование правовых актов
ОФИЦИАЛЬНОЕ ОПУБЛИКОВАНИЕ
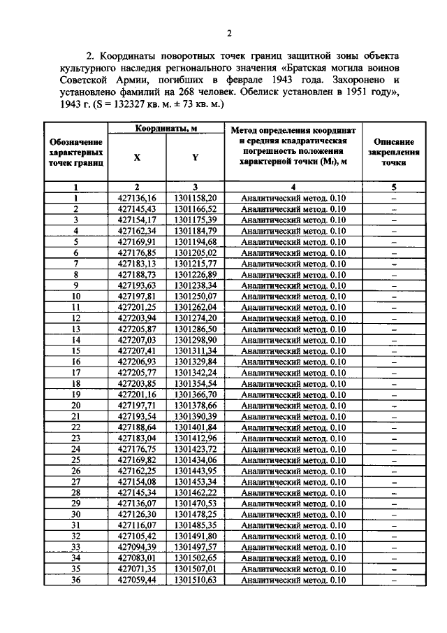
Приказ Комитета по охране объектов культурного наследия Курской области от 09.11.2021 № 01.1-08/532
"Об утверждении графического описания местоположения границ защитной зоны объекта культурного наследия регионального значения "Братская могила воинов Советской Армии, погибших в феврале 1943 года. Захоронено и установлено фамилий на 268 человек. Обелиск установлен в 1951 году", 1943 г.(Курская область, Курский район, д. Щетинка Щетинского сельсовета (100 м северо–восточнее восьмилетней школы)"
Номер опубликования: 4601202111150013
Дата опубликования: 15.11.2021
Страница №3 из 6:
Увеличить