Официальное опубликование правовых актов
ОФИЦИАЛЬНОЕ ОПУБЛИКОВАНИЕ
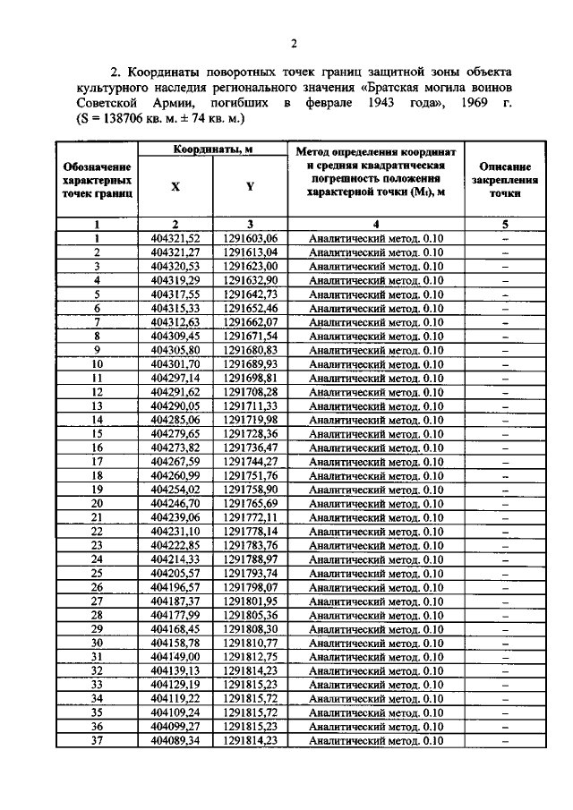
Приказ Комитета по охране объектов культурного наследия Курской области от 09.11.2021 № 01.1-08/538
"Об утверждении графического описания местоположения границ защитной зоны объекта культурного наследия регионального значения "Братская могила воинов Советской Армии, погибших в феврале 1943 года", 1969 г. (Курская область, Курский район, д. Селиховы Дворы)"
Номер опубликования: 4601202111150011
Дата опубликования: 15.11.2021
Страница №3 из 7:
Увеличить