Официальное опубликование правовых актов
ОФИЦИАЛЬНОЕ ОПУБЛИКОВАНИЕ
Приказ Комитета по охране объектов культурного наследия Курской области от 09.11.2021 № 01.1-08/525
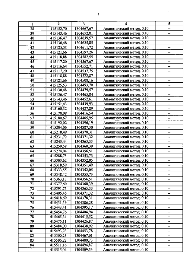
"Об утверждении графического описания местоположения границ защитной зоны объекта культурного наследия регионального значения "Братская могила воинов Советской Армии, погибших в феврале 1943 года. Захоронено 29 человек, установлено фамилий на 12 человек. Скульптура установлена в 1947 году", 1943 г., 1947 г. (Курская область, Курский район, с. Лебяжье Лебяженского сельсовета (в парке на территории дома отдыха "Лебяжье")"
Номер опубликования: 4601202111150008
Дата опубликования: 15.11.2021
Страница №4 из 5:
Увеличить