Официальное опубликование правовых актов
ОФИЦИАЛЬНОЕ ОПУБЛИКОВАНИЕ
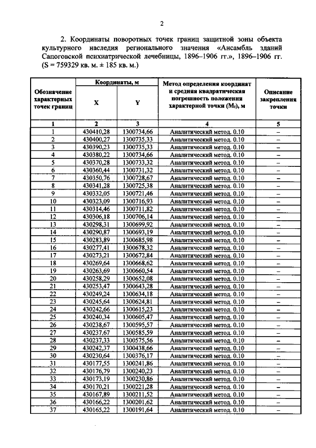
Приказ Комитета по охране объектов культурного наследия Курской области от 09.11.2021 № 01.1-08/535
"Об утверждении графического описания местоположения границ защитной зоны объекта культурного наследия регионального значения "Ансамбль зданий Сапоговской психиатрической лечебницы, 1896–1906 гг.", 1896–1906 гг. (Курская область, Курский район, Щетинский сельсовет, поселок Искра)"
Номер опубликования: 4601202111150005
Дата опубликования: 15.11.2021
Страница №3 из 8:
Увеличить