Официальное опубликование правовых актов
ОФИЦИАЛЬНОЕ ОПУБЛИКОВАНИЕ
Приказ Комитета по охране объектов культурного наследия Курской области от 09.11.2021 № 01.1-08/534
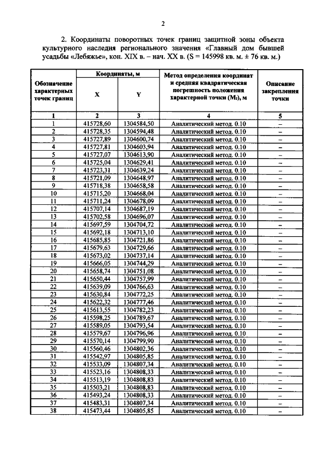
"Об утверждении графического описания местоположения границ защитной зоны объекта культурного наследия регионального значения "Главный дом бывшей усадьбы "Лебяжье", кон. XIX в. – нач. XX в. (Курская область, Курский район, с. Лебяжье)"
Номер опубликования: 4601202111150004
Дата опубликования: 15.11.2021
Страница №3 из 6:
Увеличить