Официальное опубликование правовых актов
ОФИЦИАЛЬНОЕ ОПУБЛИКОВАНИЕ
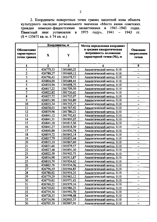
Приказ Комитета по охране объектов культурного наследия Курской области от 09.11.2021 № 01.1-08/530
"Об утверждении графического описания местоположения границ защитной зоны объекта культурного наследия регионального значения "Место казни советских граждан немецко–фашистскими Захватчиками в 1941–1943 годах. Памятный знак установлен в 1975 году", 1941–1943 гг.(Курская область, Курский район, д. Щетинка Щетинского сельсовета (песчаный карьер)"
Номер опубликования: 4601202111120012
Дата опубликования: 12.11.2021
Страница №3 из 6:
Увеличить