Официальное опубликование правовых актов
ОФИЦИАЛЬНОЕ ОПУБЛИКОВАНИЕ
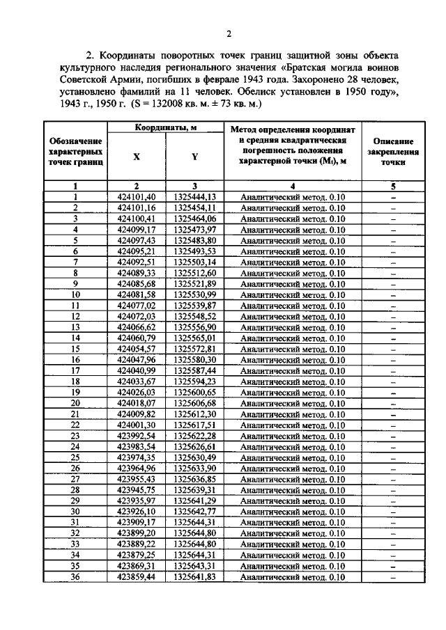
Приказ Комитета по охране объектов культурного наследия Курской области от 09.11.2021 № 01.1-08/529
"Об утверждении графического описания местоположения границ защитной зоны объекта культурного наследия регионального значения "Братская могила воинов Советской Армии, погибших в феврале 1943 года. Захоронено 28 человек, установлено фамилий на 11 человек. Обелиск установлен в 1950 году", 1943 г., 1950 г.(Курская область, Курский район, Бесединский сельсовет, с. Троица, д. 44 "а")"
Номер опубликования: 4601202111120011
Дата опубликования: 12.11.2021
Страница №3 из 6:
Увеличить