Официальное опубликование правовых актов
ОФИЦИАЛЬНОЕ ОПУБЛИКОВАНИЕ
Приказ Комитета по охране объектов культурного наследия Курской области от 09.11.2021 № 01.1-08/526
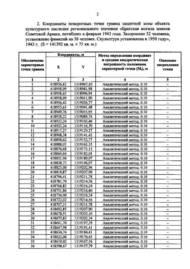
"Об утверждении графического описания местоположения границ защитной зоны объекта культурного наследия регионального значения "Братская могила воинов Советской Армии, погибших в феврале 1943 года. Захоронено 52 человека, установлено фамилий на 38 человек. Скульптура установлена в 1950 году", 1943 г. (Курская область, Курский район, с. Беседино (в 100 метрах от здания сельского Совета)"
Номер опубликования: 4601202111120010
Дата опубликования: 12.11.2021
Страница №3 из 6:
Увеличить