Официальное опубликование правовых актов
ОФИЦИАЛЬНОЕ ОПУБЛИКОВАНИЕ
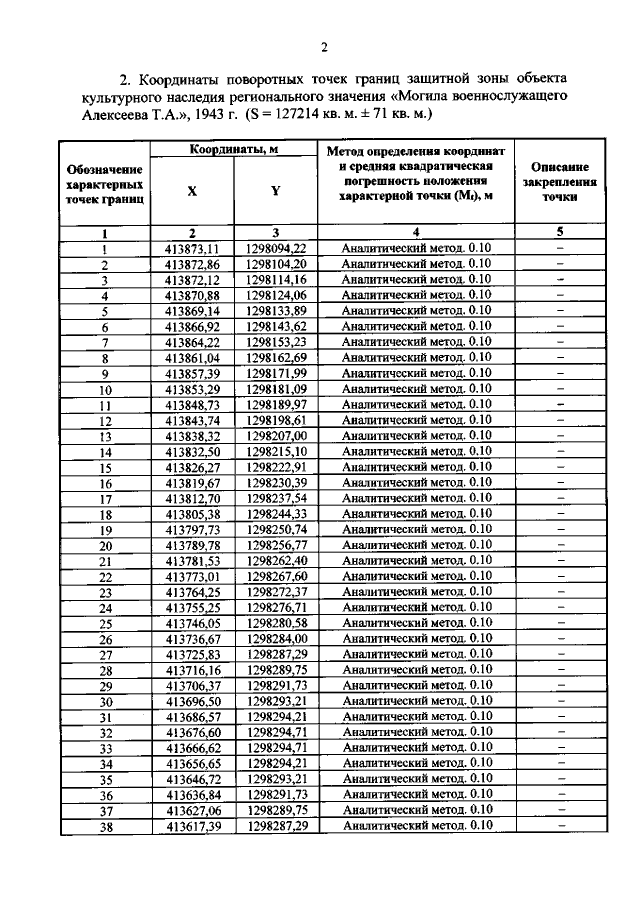
Приказ Комитета по охране объектов культурного наследия Курской области от 09.11.2021 № 01.1-08/519
"Об утверждении графического описания местоположения границ защитной зоны объекта культурного наследия регионального значения "Могила военнослужащего Алексеева Т.А.", 1943 г. (Курская область, Курский район, с. Рышково)"
Номер опубликования: 4601202111120008
Дата опубликования: 12.11.2021
Страница №3 из 6:
Увеличить