Официальное опубликование правовых актов
ОФИЦИАЛЬНОЕ ОПУБЛИКОВАНИЕ
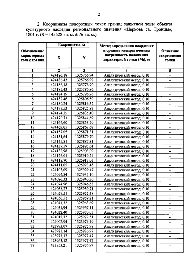
Приказ Комитета по охране объектов культурного наследия Курской области от 09.11.2021 № 01.1-08/528
"Об утверждении графического описания местоположения границ защитной зоны объекта культурного наследия регионального значения "Церковь св. Троицы", 1801 г.(Курский район, Бесединский сельсовет, с. Троица, д. 25 "а")"
Номер опубликования: 4601202111120007
Дата опубликования: 12.11.2021
Страница №3 из 7:
Увеличить