Официальное опубликование правовых актов
ОФИЦИАЛЬНОЕ ОПУБЛИКОВАНИЕ
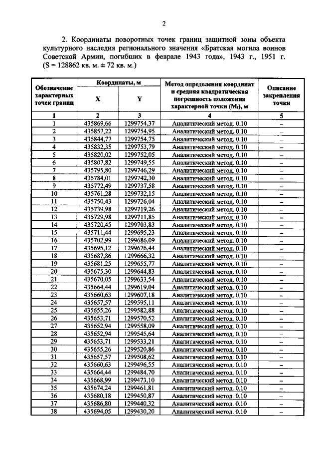
Приказ Комитета по охране объектов культурного наследия Курской области от 09.11.2021 № 01.1-08/527
"Об утверждении графического описания местоположения границ защитной зоны объекта культурного наследия регионального значения "Братская могила воинов Советской Армии, погибших в феврале 1943 года", 1943 г., 1951 г. (Курская область, Курский район, д. Глебово)"
Номер опубликования: 4601202111120006
Дата опубликования: 12.11.2021
Страница №3 из 6:
Увеличить