Приказ Комитета по охране объектов культурного наследия Курской области от 09.11.2021 № 01.1-08/521
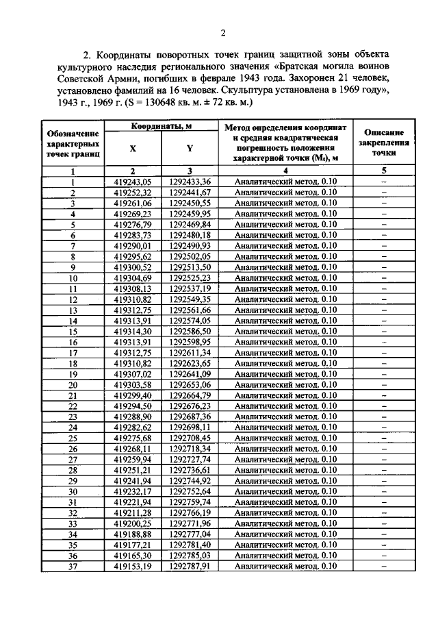
"Об утверждении графического описания местоположения границ защитной зоны объекта культурного наследия регионального значения "Братская могила воинов Советской Армии, погибших в феврале 1943 года. Захоронен 21 человек, установлено фамилий на 16 человек. Скульптура установлена в 1969 году", 1943 г., 1969 г.(Курская область, Курский район, Моковский сельсовет, д. 1–я Моква, ул. Санаторная, № 1 А)"
"Об утверждении графического описания местоположения границ защитной зоны объекта культурного наследия регионального значения "Братская могила воинов Советской Армии, погибших в феврале 1943 года. Захоронен 21 человек, установлено фамилий на 16 человек. Скульптура установлена в 1969 году", 1943 г., 1969 г.(Курская область, Курский район, Моковский сельсовет, д. 1–я Моква, ул. Санаторная, № 1 А)"
Номер опубликования: 4601202111120005
Дата опубликования:
12.11.2021
