Официальное опубликование правовых актов
ОФИЦИАЛЬНОЕ ОПУБЛИКОВАНИЕ
Приказ Комитета по охране объектов культурного наследия Курской области от 09.11.2021 № 01.1-08/524
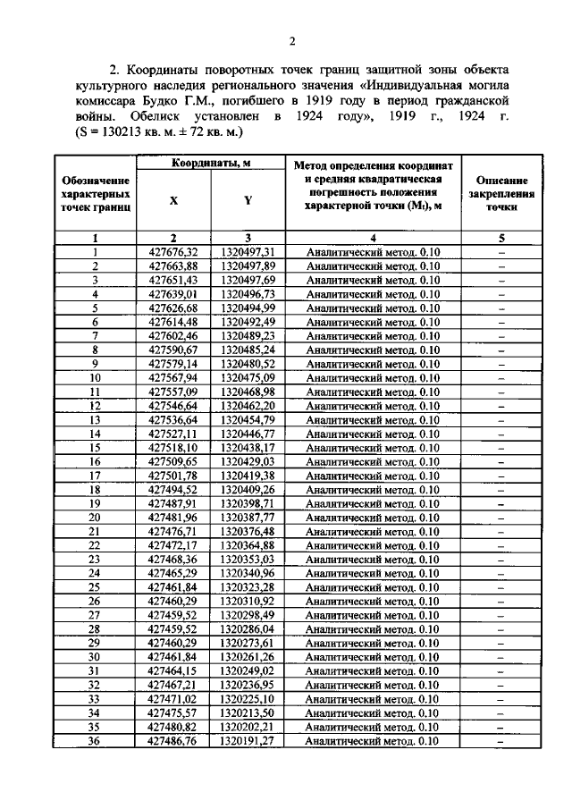
"Об утверждении графического описания местоположения границ защитной зоны объекта культурного наследия регионального значения "Индивидуальная могила комиссара Будко Г.М., погибшего в 1919 году в период гражданской войны. Обелиск установлен в 1924 году", 1919 г., 1924 г.(Курская область, Курский район, ст. Отрешково Винниковского сельсовета (на территории ж.д. станции Отрешково)"
Номер опубликования: 4601202111120003
Дата опубликования: 12.11.2021
Страница №3 из 6:
Увеличить