Официальное опубликование правовых актов
ОФИЦИАЛЬНОЕ ОПУБЛИКОВАНИЕ
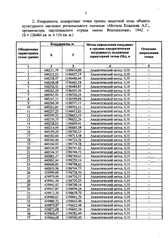
Приказ Комитета по охране объектов культурного наследия Курской области от 21.10.2021 № 01.1-08/505
"Об утверждении графического описания местоположения границ защитной зоны объекта культурного наследия регионального значения "Могила Ковалева А.Г., организатора партизанского отряда имени Ворошилова", 1942 г.(Курская область, Хомутовский район, пос. Березовое)"
Номер опубликования: 4601202110260003
Дата опубликования: 26.10.2021
Страница №3 из 5:
Увеличить