Официальное опубликование правовых актов
ОФИЦИАЛЬНОЕ ОПУБЛИКОВАНИЕ
Приказ Комитета по охране объектов культурного наследия Курской области от 21.10.2021 № 01.1-08/509
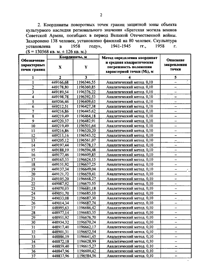
"Об утверждении графического описания местоположения границ защитной зоны объекта культурного наследия регионального значения "Братская могила воинов Советской Армии, погибших в период Великой Отечественной войны. Захоронено 138 человек, установлено фамилий на 80 человек. Скульптура установлена в 1958 году", 1941-1945 гг., 1958 г.(Курская область, Хомутовский район, село Веть)"
Номер опубликования: 4601202110260002
Дата опубликования: 26.10.2021
Страница №4 из 6:
Увеличить