Официальное опубликование правовых актов
ОФИЦИАЛЬНОЕ ОПУБЛИКОВАНИЕ
Приказ Комитета по охране объектов культурного наследия Курской области от 21.10.2021 № 01.1-08/504
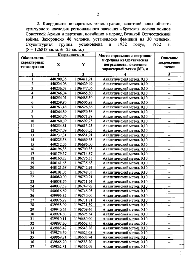
"Об утверждении графического описания местоположения границ защитной зоны объекта культурного наследия регионального значения "Братская могила воинов Советской Армии и партизан, погибших в период Великой Отечественной войны. Захоронено 46 человек, установлено фамилий на 30 человек. Скульптурная группа установлена в 1952 году", 1952 г.(Курская область, Хомутовский район, пос. Березовое)"
Номер опубликования: 4601202110250002
Дата опубликования: 25.10.2021
Страница №4 из 6:
Увеличить