Официальное опубликование правовых актов
ОФИЦИАЛЬНОЕ ОПУБЛИКОВАНИЕ
Приказ Комитета по охране объектов культурного наследия Курской области от 15.10.2021 № 01.1-08/494
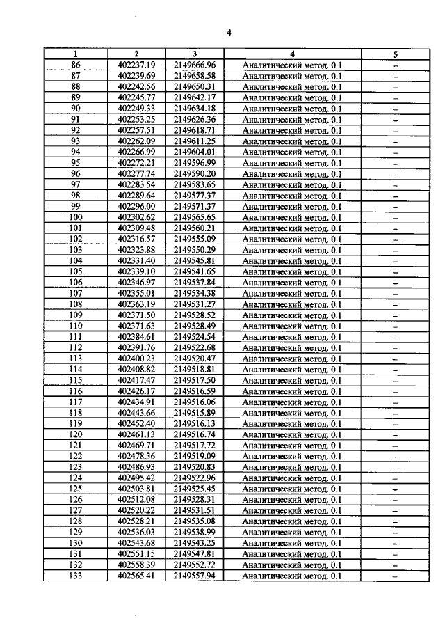
"Об утверждении графического описания местоположения границ защитной зоны объекта культурного наследия регионального значения "Братская могила воинов Советской Армии, погибших в период Великой Отечественной войны", 1941–1945 гг., 1962 г. (Курская область, Тимский район, село Кировка (в центре села, на территории школы)"
Номер опубликования: 4601202110210048
Дата опубликования: 21.10.2021
Страница №5 из 7:
Увеличить