Официальное опубликование правовых актов
ОФИЦИАЛЬНОЕ ОПУБЛИКОВАНИЕ
Приказ Комитета по охране объектов культурного наследия Курской области от 15.10.2021 № 01.1-08/495
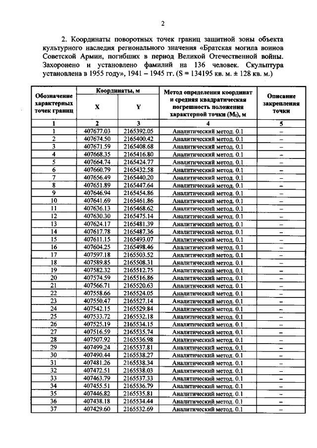
"Об утверждении графического описания местоположения границ защитной зоны объекта культурного наследия регионального значения "Братская могила воинов Советской Армии, погибших в период Великой Отечественной войны. Захоронено и установлено фамилий на 136 человек. Скульптура установлена в 1955 году", 1941 – 1945 гг. (Курская область, Тимский район, с. Погожее)"
Номер опубликования: 4601202110210045
Дата опубликования: 21.10.2021
Страница №3 из 7:
Увеличить