Официальное опубликование правовых актов
ОФИЦИАЛЬНОЕ ОПУБЛИКОВАНИЕ
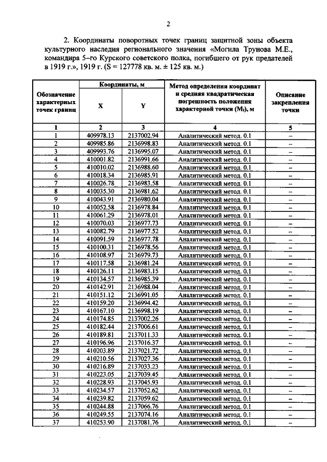
Приказ Комитета по охране объектов культурного наследия Курской области от 15.10.2021 № 01.1-08/497
"Об утверждении графического описания местоположения границ защитной зоны объекта культурного наследия регионального значения "Могила Трунова М.Е., командира 5–го Курского советского полка, погибшего от рук предателей в 1919 г.", 1919 г. (Курская область, Тимский район, с. Похонок (Рождественский с/с)"
Номер опубликования: 4601202110210043
Дата опубликования: 21.10.2021
Страница №3 из 7:
Увеличить